Excel用作细胞内钙瞬态的多元回归分析
发布时间:2018-09-10 浏览次数:1736次
在科研工作中,要将原始实验数据转化为可理解的信息(如生理学信息、物理学信息、化学信息等等),或者将实验参数与结果的关系归纳为理论模型(如经验公式),往往需要进行一系列的繁杂处理流程(如原始数据转换、数据计算、回归分析等等)。
市面上的商业软件,如ClampFit(Molecular devices LLC)和SigmaPlot (Systat software Inc.),一般只能够执行整个流程中的一部分,无法有效的完成所有步骤。
研究人员往往不得不先将原始数据记录在Excel电子表格中,用电子表格公式进行数据转换和基本的计算,再用专业软件进行回归分析。这样的工作模式步骤不连贯,效率较低。
以细胞内钙瞬态分析为例,可以深切感受到整个处理流程的复杂,以及将整个流程分割到不同的软件中进行的弊端。如下图:

也许不少的读者都设想过将整个处理过程集中到Excel中完成,但最终大多因为觉得Excel的数据拟合功能比不上专业软件而作罢。
实际上,Excel可以实现的数据拟合功能一点不比专业软件差,下边将介绍一个Excel用作细胞内钙瞬态分析的一站式数据处理的例子。
其处理流程如下:
1.数据输入与处理

如上图:①先在A区域输入(导入)原始数据(电压检测值);②在B、C区域选择处理方法;③在图D中通过游标E和滚动条F定义初始参数;④点击G区Calibrate进行数据处理。
2.计算细胞内钙瞬态的绝对值

如上图:①选择参数;②点击Draw按钮计算钙瞬态绝对值曲线;③可以方便地在图中进行拖动和缩放;④可以方便查看舒张值、峰值及收缩值等。
3.数据拟合

同时进行两种模式的拟合:参数对比展示,便于确定最优拟合方式

同时进行两种模式的拟合:可视化对比,便于确定最有拟合方式。
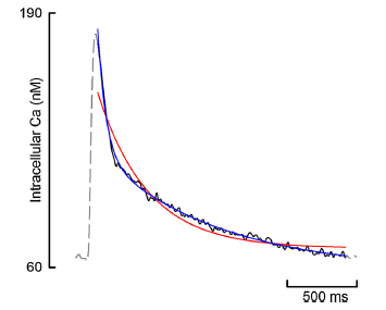
可进行复杂模式的曲线拟合(多元回归):途中蓝线为双指数方程拟合结果,红色为单指数方程拟合结果。

Excel拟合结果与商业软件结果完全一致。
可见,运用Excel进行复杂的多元回归分析并不比商业软件的效果差。
但与商用软件相比,其具有更多的显著优势:
1) 任何一台能够运行Microsoft Excel的PC机都能运行。
2) 数据输入、数据处理、结果显示,均在同一个Excel工作簿中进行,易于熟悉和使用。
3) 采用逻辑工作流,将实际步骤在excel中进行排序,确定原始数据输入、处理有序。
4) 原始数据、数据处理结果、计算结果和回归分析结果都存储在一个表格,一个实验可以存储为一个独立的表格。后续重新分析可以通过简单地重新打开工作簿来执行,不需要重新导入原始数据并重新导出准备/分析的结果。
5) 无需购买专用商业软件。
参考文献:Computer methods and programs in biomedicine 113 (2014) 241–250:Ca analysis: An Excel based program for the analysis of intracellular Calcium transients including multiple, simultaneous regression analysis。
上一条:Excel逻辑判断函数
